ÉQUATION DU 2ème DEGRÉ – TEST 4

Dernière mise à jour, le 4 Avr 2026 à 13:03

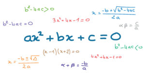
Résoudre les problèmes ci-dessous.

Problèmes:

Corrections: